BV伟德官方网站
网站首页
学院概况
生物医药学院概况
领导班子
组织机构
科创中心
专业概况
师资队伍
药品生产教研室
药学服务教研室
中药教研室
药学基础教研室
德育教研室(生物医药学院)
校企合作
实践基地
产教融合
校内实训
药品生产检测中心
药学服务实训中心
化学应用实训中心
中药传统技能实训中心
网站首页
学院新闻
通知公告
党团建设
教学工作
学生工作
科研和社会服务
招生就业工作
学院概况
生物医药学院概况
领导班子
组织机构
科创中心
专业概况
师资队伍
药品生产教研室
药学服务教研室
中药教研室
药学基础教研室
德育教研室(生物医药学院)
校企合作
实践基地
产教融合
校内实训
药品生产检测中心
药学服务实训中心
化学应用实训中心
中药传统技能实训中心
网站首页
学院新闻
通知公告
党团建设
教学工作
学生工作
科研和社会服务
招生就业工作
通知公告
当前位置:
网站首页
->
通知公告
->
正文
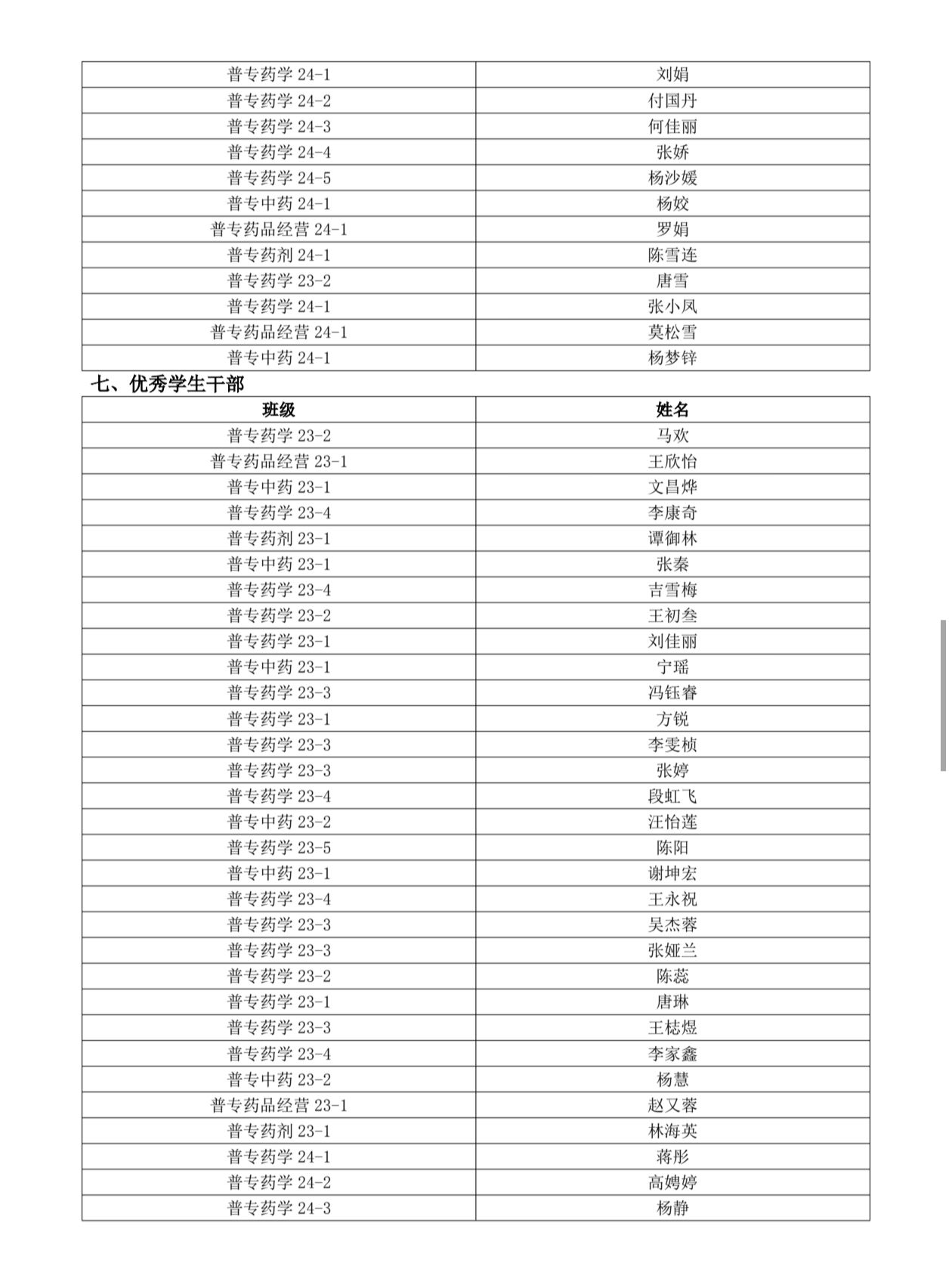
BV伟德官方网站生物医药学院 2024-2025 学年度学生评优评奖活动结果公示
信息来源:
发布日期:2025-10-11
上一条:
生物医药学院2025-2026学年家庭经济困难补录学生 认定公示
下一条:
生物医药学院2025-2026学年家庭经济困难学生认定 公示